미국 증시가 폭락
은, 원유가격이 하락한것은 경기침체를 본것으로 보이고
달러가 하락한것은 투자금이 미국 밖으로 넘어간것이 상당한게 아닐까 싶다
즉 엔캐리트레이드 청산 성격의 장도 보였던것
하지만 작년 8월5일과는 비교하면 안된다
그때는 큰 레버리지물량이 청산당한것이고 이제는 좀더 천천히 엔캐리트레이드가 유도될것
사진 오른쪽 상단을 잘보면

Including Currency Manipulation and Trade Barriers
라고 써져있다
번역하면
미국에 부과된 관세
통화 조작 및 무역 장벽 포함
통화가치 하락으로 무역에서 이득본경우도 감안했다는것

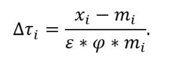
미국 무역 대표부에서 발표한 관세의 계산식

이 2가지가 중요한데
Xi는 총 수출
Mi는 총 수익
상대 국가의 관세율을 수출 수익률로 계산을 해버렸다
관세와 환율 등으로 상대국이 이득을 저만큼 보고있는데 그걸 관세로 치는것이 합리적인것은 아닌거같다
다만 동맹국들이 미국으로인해 이득을 크게 보고있는것도 맞고
미국의 제조업이 박살나 중산층이 고통받은것도 맞다
결국 우리한테 이득보고 있는 애들 와서 협상하라는것

그냥 저게 말이되느냐 투덜대는것이 아니라 이유를 찾아봐야한다
이유는 2가지 협상과 자국기업 경쟁력 강화로 보인다
협상 관련해서는 우리한테 이득보는 국가들에게 요구를 한다는것으로 보인다
캐나다와 맥시코는 국경을 강화와 은행등의 규제 완화
유럽은 국방비를 증액하고 미국 테크기업들에대한 주기적인 벌금뜯기를 줄이기기
한국, 일본, 동남아국가들은 미국의 천연가스 수입을 크게 늘리고
미국의 농산품 수입을 늘리며
환율 약세를 방관하지 말것 즉, 환율 조작하지 말라는것이 될것이고
모든 국가에 해당되는것은 미국의 국채를 매입하고 미국에 공장을 늘려라

그리고 트럼프의 숨은 의도가 추가로 있지 않을까 싶은데
불확실성을 이용하여 4월 국채금리의 하락을 노리는게 아닐까 싶다
4월에 미국 단기채 만기가 몰려있고
국채 재발행을 낮은 금리로 조달하려는 목표가 있지않나 하는 의견이 있었는데
이게 점점 현실화되는게 아닌가 싶다
결국 고비는 당분간의 무역 전쟁과 5~6월 미국 부채 한도 협상이 아닐까 싶고
그뒤 연준의 금리인상과 함께 상승을 하는것이 희망 시나리오
무역합의가 생각보다 너무 오래걸린다면 물가상승과 경기침체가 같이오는 최악의 시나리오가 가능할것 같다.
공포 탐욕지수도 무려 8까지 떨어지고
공포지수인 vix지수도 30을 넘은상태
과거를 참고하면 30정도라인은 매우 길어야 몇달안에 진정되는 수준
시장의 추가 하락이 충분히 가능하지만 분할매수를 해야한다고 생각된다
이럴때 분할매수하지 못한다면 더 빠져도 결국 매수를 못하지않을까
다만 한동안 높은 변동성이 가능하기에 레버리지나 몰빵 투자는 피하고
장기적인 분할매수가 합당해보인다.
1